|高斯狂想曲,非常强大的高斯积分(求解技巧)


|高斯狂想曲,非常强大的高斯积分(求解技巧)

文章图片


|高斯狂想曲,非常强大的高斯积分(求解技巧)

文章图片


|高斯狂想曲,非常强大的高斯积分(求解技巧)

文章图片


|高斯狂想曲,非常强大的高斯积分(求解技巧)

文章图片


|高斯狂想曲,非常强大的高斯积分(求解技巧)

文章图片


|高斯狂想曲,非常强大的高斯积分(求解技巧)

文章图片


|高斯狂想曲,非常强大的高斯积分(求解技巧)

文章图片


|高斯狂想曲,非常强大的高斯积分(求解技巧)

文章图片


|高斯狂想曲,非常强大的高斯积分(求解技巧)

文章图片


|高斯狂想曲,非常强大的高斯积分(求解技巧)

文章图片


|高斯狂想曲,非常强大的高斯积分(求解技巧)

文章图片


|高斯狂想曲,非常强大的高斯积分(求解技巧)

文章图片


|高斯狂想曲,非常强大的高斯积分(求解技巧)

文章图片


|高斯狂想曲,非常强大的高斯积分(求解技巧)


高斯积分几乎出现在数学和物理的所有领域 , 甚至在你意想不到的地方 。 高斯函数和\uD835\uDC41维中的球体的体积有密切关系 。 高斯积分很强大 , 我希望在阅读完这篇文章后 , 你会同意 。
高斯积分是以伟大的德国数学家卡尔·弗里德里希的名字命名的

它描述了位于\uD835\uDC65=\uD835\uDF07附近的钟形曲线下的面积 , 下方绘制的宽度对应于\uD835\uDF0E

  • 高斯积分是钟形高斯函数下的面积
我经常看到这个积分 , 但我总是记不住把这些常数放在哪里 。 前面的因数是2\uD835\uDF0B还是\uD835\uDF0B?\uD835\uDF0E是在平方根里面还是外面?指数是1还是1/2?
首先 , 让我们做一个最简单的高斯积分例子 。

计算\uD835\uDC3C的诀窍是先计算\uD835\uDC3C2 , 然后取平方根 。 解出来后 , 就很容易计算

只需要做替换\uD835\uDC65→\uD835\uDC4E\uD835\uDC65 , 重复使用更简单的积分 ,

同样 , 我们得到

代换\uD835\uDC65→\uD835\uDC65?\uD835\uDF07 。 只是稍微复杂一点的是

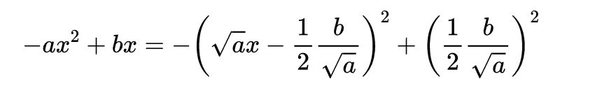
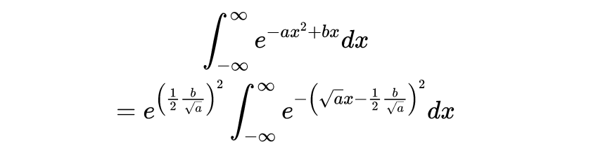
要做到这一点 , 只需计算


重新使用上面计算的积分:


同时 , 我们现在知道了高斯函数的傅里叶变换 。 只需替换前面结果中的\uD835\uDC4F→\uD835\uDC56\uD835\uDC4F 。 几乎不经过计算 , 但经过论证 , 就得到了广义多维版本

\uD835\uDC34是一些(正)对称\uD835\uDC41×\uD835\uDC41矩阵(不一定对角线)和\uD835\uDC65是列向量

推荐阅读