大学|高中数学二级结论,一个结论对应搞定一类题型,高考节约做题时间

文章图片

文章图片

文章图片

文章图片
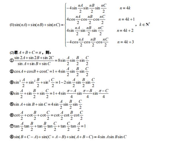
高考每个题型都有对应的解题技巧和结论 , 吃透这些结论 , 高考就能节约做题时间!
今天给同学们高中数学二级结论 , 一个结论对应搞定一类题型 , 抽时间背诵就可以 。
篇幅有限 , 文章仅为部分资料展示 。 建议大家来找我领取一份完整资料打印在手里 , 这样才能让知识浮现眼前 , 才真正有作用 。
关注社长+私信【资料】(一定要等几秒钟!!!不然你们以为我没回复!!!)
接下来进入正题 。
【大学|高中数学二级结论,一个结论对应搞定一类题型,高考节约做题时间】
推荐阅读
- 上海对外经贸大学|工作十年后,才发现老师和公务员竟有这么大的差距,你选对了吗?
- 安徽|海南一大学生不知安徽省会,连猜两个都不对,直接“得罪”两个省
- 数学|称平行线能相交的数学奇才,遭质疑郁郁而终,其理论12年后被证实
- 教育部|终于轮到高中生“减负”了,教学进度将大幅调整,教育部已有通知
- 备考|大学毕业是该直接去上班,还是安心备考公务员?
- 北京市教委|翁铁慧调研北京高校大学生就业创业工作
- 讲座|贺昌中学·清华大学美术学院共同举办“以美育人”高峰论坛
- 成绩|2022年神户大学工学部出愿信息早知道
- Offer|大学申请专题|英国大学网上申请需要做好哪些准备?
- 毕业生|新一线和二线城市吸引力增强 大学生就业有哪些新动向?
